surat kebenaran ibu bapa untuk lawatan
Adalah dimaklumkan sekolah kami berhasrat untuk mengadakan lawatan. Lawatan suci tidak wajib untuk seseorang yang menjalani kehidupan yang alim dan suci.
Surat Kebenaran Lawatan Ke Terengganu Pdf
Suami isteri hendaklah bertolak ansur.
. Sewaktu di Malaya dan Singapura rusuhan Maria Hertogh berlaku. Pengarah Penjara Kajang Selangor Darul Ehsan Tuan Memohon Kebenaran Mengadakan Lawatan Sambil Belajar Dengan segala hormatnya perkara di atas dirujuk. Kes yang berlaku di Lembah Klang perlu merujuk ke Bahagian Pengurusan Depot dan Pengusiran Ibu Pejabat Imigresen di Putrajaya manakala yang lain perlu merujuk ke Bahagian Penguatkuasa Jabatan Imigresen mengikut negeri.
Tuhan boleh menjadi Ibu Bapa Kawan Kekasih atau Anak seseorang manusia. Beras diimport masuk dari Siam. Angkatan laut yang kuat pahlawan orang laut orang Selat untuk menjamin keamanan keselamatan perairan Selat Melaka.
Sewaktu Maria berumur 17 tahun kejelitaannya menyebabkan beliau menerima tawaran untuk menayangkan baju kebaya di Singapura dan kemudiannya di Malaya. Pinggan mangkuk tersusun dengan rapi di atas para. Pemuda Pemudi boleh ikut serta.
Namun dia akan dapat meningkatkan tahap kerohaniannya dengan melakukan lawatan suci. Anda perlu mendapat surat kebenaran dari pegawai imigresen sebelum anda pergi berjumpa dengan mereka di depot. Diiringi oleh ibu bapa saudaranya perjalanan pada 1950 membawa Maria ke Singapura Kuala Lumpur Ipoh dan Pulau Pinang.
Inti Inti Terdiri daripada dua unsur inti di dalamnya. Kerusi meja untuk pelajar-pelajar sahaja. Amalan seperti jñāna ilmu agama kṣama sifat memaafkan orang lain dayā belas kasihan dan dama kawalan.
13 Surat Kebenaran Ibu bapa 14 Surat Kebenaran Tempat Lawatan 15 Surat Kebenaran Pelancongan Tuan. Frasa Nama Subjek Predikat Inti Penerang 1. Ibu bapa tidak perlu datang.
Pengeluaran surat kebenaran untuk berurus niaga kepada pedagang surat ini memudahkan urusan perdagangan dan memberi sumber pendapatan kepada kerajaan Melaka. Pembuat senjata dan pendayung yang handal.
Surat Kebenaran Ibu Bapa Untuk Anak Bekerja Letter 7saudara Com
Surat Kebenaran Ibu Bapa Untuk Lawatan Pdf
Surat Kebenaran Ibu Bapa Untuk Lawatan Pdf
Surat Kebenaran Ibu Bapa Ke Luar Negara Pdf
Surat Kebenaran Ibu Bapa Kpm Letter 7saudara Com
Contoh Surat Kebenaran Ibu Bapa Kumpulan Contoh Terbaru
Lawatan Ke Kilang Batik Surat Kebenaran Ibu Bapa
Contoh Surat Kebenaran Penjaga Untuk Lawatan
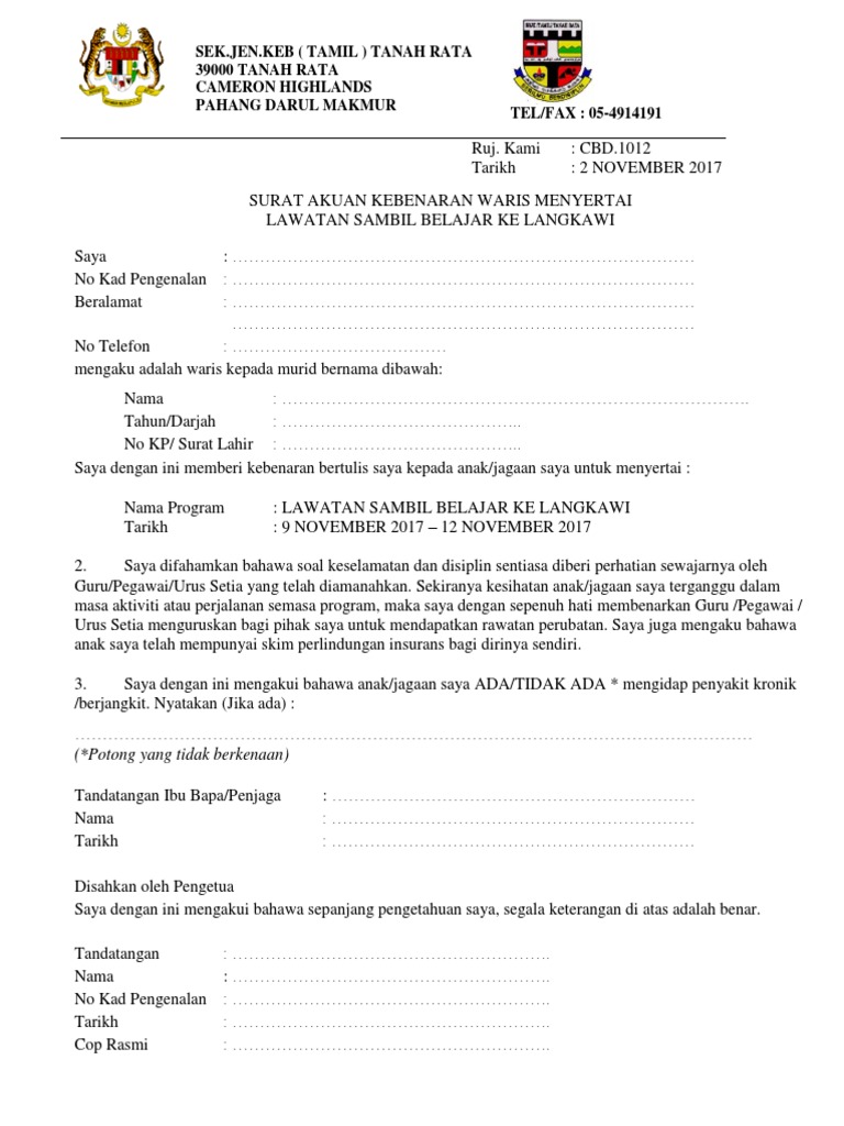
Surat Kebenaran Ibu Bapa Lawatan Sambil Belajar Pdf
Contoh Surat Kebenaran Ibu Bapa Letter 7saudara Com
Contoh Surat Kebenaran Ibu Bapa Untuk Lawatan Kumpulan Contoh Terbaru
Surat Rasmi Kebenaran Ibu Bapa Surat Rasmi B
Surat Kebenaran Ibu Bapa Lawatan Sambil Belajar Allyrtb
